Skip to main content
Asian Journal of Biological and Life sciences
An Open Access, Peer Reviewed Journal
in the field of Biology and Life Sciences

Click to Submit Articles

Asian Journal of Biological and Life sciences
  • Home
  • Browse Issues
    • Articles In Press
    • Current Issue
    • Past Issues
  • About Journal
    • Aim and Scope
    • Editorial Board
    • Editorial Policy
    • Peer Review Process
    • Open Access Policy
  • For Authors
    • Instruction to Authors
    • Article Submission and Charges
    • Downloads
  • Contact Us
Home / Articles in images

Articles in images

Map showing details of the study area.
Rats’ serum, testis and epididymis Cd concentrations after 3 weeks of different treatments are shown in (A), (B) and (C), respectively. Values are mean±SEM, n = 6, ***p<0.001, **p<0.01, *p<0.05 vs negative control group *p<0.001.
Figure showing map of Jorhat Districts of Assam
Comparative % medicine released from LTG, DCT and LSP.
Effect of AuNPs on malondialdehyde in RBC depending on time and dose of exposure.
DPPH Radical Scavenging Activity of Fruits.
Molecular structure of Chemicals present in essential oil of C.nobile
GC-MS spectra of Trimethoxymethylsilane from V.subramanii ethanolic stem extract.
Development Validation and Verification of Dhatu Sarata Assessment Questionnaire (DSAQ): Structural and functional status of Tissues
Transverse section of leaf of Cosmostigma cordatum
Metagenomics: An Advanced Approach for Endophyte Study and Prospecting
Calibration curve of standard formaldehyde solution
GCMS chromatogram of P. tectorius flower extract.
Risk-of-bias Visualization (Robvis).
AsianJBiolLifeSci-13-3-723
Morphological observation of chitosan-based coating by SEM 500X.
Development of Pokkali Rice-Based Fruit Blended Probiotic Drink and Evaluation of Its Sensory Parameters and Nutritional Content
Therapeutic Evaluation and Development of Nutrient-Rich Value-Added Products Utilizing Marayoor Jaggery
Exploring the potential of nanocarriers in breast cancer therapy.
Separation diagram of MPs, by difference in densities (Own).
Risk-of-bias VISualization (Robvis).
Length-weight relationship of N. nandus (combined sex) in pre-monsoon.
Cartographical representation of the four river locations at Barpeta district, Assam
Surface view of the best pose of 1CVU with Cholesterin complex is displaying the surface view on the left panel and 2D interaction profile of the ligand with binding cavity residues
C. rottleri different extracts ZOI against pathogens.
Effect of Arginase activity on various cellular functions
Siravyadha with agnikarma procedure
The inhibition zone (cm) of aqueous extracts of clove (0%, 20%, 50%, 100%) on (a) Staphylococcus aureus and (b) Cryptococcus neoformans.
Comparison of Biofilm Percent Inhibition of Eleusine indica ethanolic crude extract against Escherichia coli and Staphylococcus aureus
Chamomile field trial for the years 2022-23 and 2023-24.
(a) Bhavani Gold, (b) Purple Round, (c) Haritha.
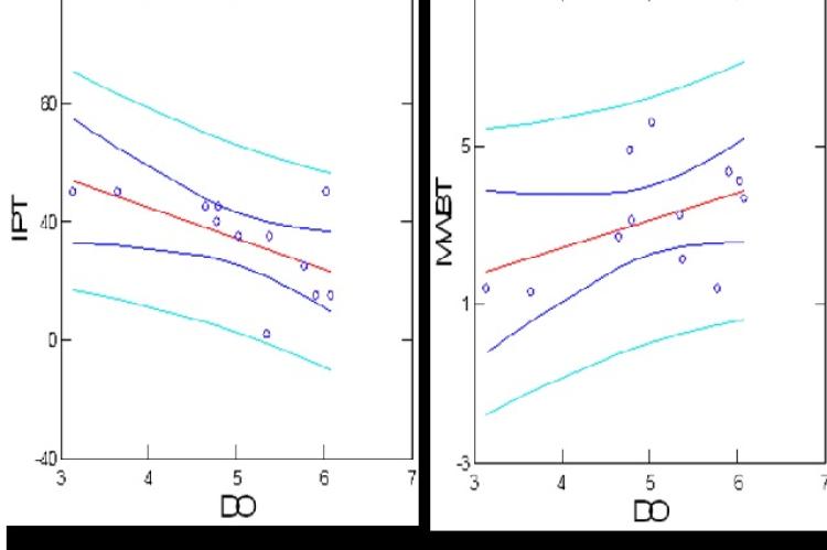
Effect of Dissolved Oxygen (mg/L) on infection attributes of L. haryanii in C. batrachus L. during 2019-2020.
Blood serum protein estimation in liver of newborn chicks treated with Flubendiamide. (A) Albumin (B) Globulin
Analysis of Trace and Macroelements of Lepidocephalichthys berdmorei in Relation to Sex and Seasonal Variation
Electrical conductivity analysis of Spirulina platensis in both control and experimental reactor.
Mycorrhizal Associations in Orchids: A Review
Orchid Mimicry: Insight into a Fascinating Floral Phenomenon
Taxonomic classification of A. marmelos.
Isolation, Screening and Identification of Marine bacteria for their Potential Bioactivity
Maps indicating the location of Ullal Lake in Bangalore North and the sampling stations open surface water, deposit and inlet.
Group B (Standard Group procedures).
Flowchart showing the present study.
Map showing Gujjar locations (Chilawali, Ramgarh and Gohri) Rajaji National Park.
Map of the study area extracted through Google-earth.
Parts of Simarouba glauca Tree.
Plant growth promotion study
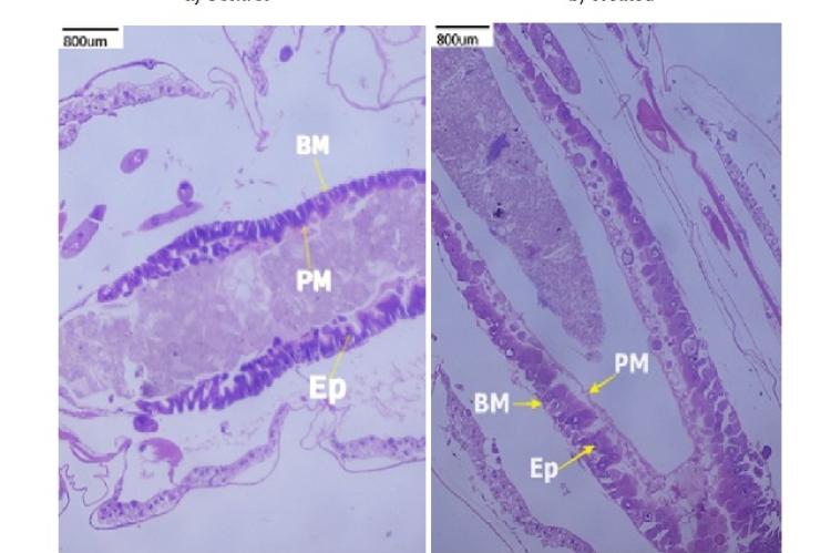
a) Histological studies on gut of control shows intact normal epithelial cells b) Third- instar larvae of gut region of treated larvae shows vacuolization and disintegration of gut epithelial cells. BM-Basement Membrane
Shoot regeneration of E. alba A-B. Initiation of shoot regeneration from leaf explants of E. alba on MS

Pages

  • « first
  • ‹ previous
  • 1
  • 2
  • 3
  • 4
  • 5
  • 6
  • 7
  • 8
  • 9
  • …
  • next ›
  • last »
  • Latest
  • Popular
  • Archive
Fish acclimatization and Blood sample collection
Zinc-Induced Histopathological and Enzymatic Alterations in Kidney and Liver of Common Carp Cyprinus carpio var. Communis: A Comprehensive Analysis
Jul 9, 2025 - 16:08
Gender Wise Distribution.
A Cross-Sectional Survey Study to Assess the Smart Phone Usage and Academic Performance in Medical Professional Students at National Institute of Ayurveda, Jaipur
Jul 4, 2025 - 13:08
Clinical and Radiological Resolution of Grade-III Knee Osteoarthritis through Panchakarma-A Case Report
Clinical and Radiological Resolution of Grade-III Knee Osteoarthritis through Panchakarma-A Case Report
Jul 4, 2025 - 13:04
PPI interactions of top 20 HUB Genes interacting proteins in stringbase. Number of Nodes : 20, Number of Edges : 118, Average Node Degree:11.8, Avg. Local Clustering Coefficient : 0.777, Expected Number of Edges : 12, PPI Enrichment p-value : < 1.0e-16.
Identification of Hub Genes and Therapeutic Targets in Lung Cancer Using Software Tools
Jul 4, 2025 - 12:59
More
Pharmacological activity of Pedalium murex
A Comprehensive Review on Ethno-phytopharmacological Profile of Medicinal Plant Pedalium murex
Bioaccumulation of Heavy Metals in Freshwater Invertebrates of the Kallada River, India: Implications for Ecological Risk and Food Safety
Bioaccumulation of Heavy Metals in Freshwater Invertebrates of the Kallada River, India: Implications for Ecological Risk and Food Safety
Unveiling Tigliane Derivatives as Novel Therapeutics for Alzheimer's Disease
Unveiling Tigliane Derivatives as Novel Therapeutics for Alzheimer's Disease
October 2025 (16)
August 2025 (5)
July 2025 (11)
May 2025 (27)
April 2025 (30)
January 2025 (5)
December 2024 (33)
October 2024 (1)
September 2024 (40)
June 2024 (7)
May 2024 (25)
March 2024 (1)
More

Search form

About Journal

 

Asian Journal of Biological and Life sciences a peer-reviewed, open access/print Journal. The Journal is devoted to publishing scientific and technical information in the field of Biological, and Life sciences. With 3 issues per year, the Journal aims to provide the most complete and reliable source of information on current developments in the respective fields. The emphasis will be on publishing high-quality articles and providing free access to researchers worldwide through online .The Journal publishes research articles, reviews, short communications etc containing original research works of good standards

 

  • Editor-in-Chief : Dr. Dilip 
  • e-ISSN : 2278-5957 ; p-ISSN : 2278-747X
  • Frequency : Triannual (3 issues/year)
  • Indexed and Abstracted in :  

    CNKI, Zoological Record,  Indianscience.in, Geneva Foundation of Medical Education and Research, New Jour, Ulrich periodical directory, Jour Informatics,Genamics Journal seek,Cabi,CAS indexing (A divison of American Chemical Society) Jadoun Science Abstract Base,HINARI PORTAL ( Health InterNetwork Access to Research Initiative  BY WORLD HEALTH ORGANISATION.)*, Cite Factor, (Academic scientific Journal), Universal Impact factor,Research Bible,Directory of Research Journal Indexing (DRJI),Info port Electronic resources, Directory of Science, International center for Chemical and Biological Sciences(ICCBS) Libraries,Eletronic Journals library (GIGA-German institute of Global and Area studies information centre

 

Tags

16S r-RNA sequencing
16S rRNA
16S rRNA gene sequence
16S rRNA.
16SrRNA
17α
1H NMR
2019-nCoV
20β-dihydroxy-4-pregnen-3-one
2D gel
30 Centesimal Potency
3M MDS system (Molecular detection system)
3T3-L1 adipocytes
6S rRNA
7-methoxycoumarin
8-O-methyl fusarubin
8-O-methyl fusarubin.
99mTc
: Heteropoda
: Selenium
a-amylase
a-amylase.
A. dubius
A. paeoniifolius
A. racemosa
A. racemosa fruit
Aanat2 gene
Abaca
Abelmoschus manihot
Abelmoschus moschatus
Abiotic factors
Abiotic Stress
Abundance
Abundance.
Acacia ferruginea
Acacia lignin
Academic Performance
Acetic acid
Acetyl choline
Acetylcholinesterase
AChE (Acetylcholinesterase)
Achromobacter xylosoxidans
Acinetobacter baumannii
Activated charcoal
Activated partial thromboplastin time
Active packaging
active transport
Active transport
Activity
Activity.
More

Stay tuned with us

AJBLS provides DOI (Digital Object Identifier) to each published article. All published articles are indexed in Zoological record, Google scholar, China National Knowledge Infrastructure (CNKI), CrossRef and under process in Directory of Open Access Journals, EBSCO Publishing's Electronic Databases, Hinari (WHO) and Index Copernicus etc.

All articles published in AJBLS are made open access immediately.

Copyright © 2025 AJBLS. All rights reserved.
Powered by : Manuscript TechnoMedia LLP.

Creative Commons Licence
This work is licensed under a Creative Commons Attribution-NonCommercial 4.0 International License.

  • Home
  • Advertise with us
  • Privacy Statement
  • Contact