Skip to main content
Asian Journal of Biological and Life sciences
An Open Access, Peer Reviewed Journal
in the field of Biology and Life Sciences

Click to Submit Articles

Asian Journal of Biological and Life sciences
  • Home
  • Browse Issues
    • Articles In Press
    • Current Issue
    • Past Issues
  • About Journal
    • Aim and Scope
    • Editorial Board
    • Editorial Policy
    • Peer Review Process
    • Open Access Policy
  • For Authors
    • Instruction to Authors
    • Article Submission and Charges
    • Downloads
  • Contact Us
Home / Articles in images

Articles in images

Power x ray diffraction of pure drug, drug+excipients, F5 formulation.
SEM analysis of prepared microsponge.
Calibration Graph of Glucomannan.
SEM images of nanofiber mat formulation.
Map of the important sites and locations related to the current study. Prepared in QGIS® version 3.20.1.
The nanosponges view under 3.50 K X magnification (10 μm).
Habit and habitat of Wild Cymbopogon martinii growing in Devarayana Durga hill, Tumkur district, Karnataka.
Cumulative % drug release of Formulation Batches
Antimicrobial resistance (% of resistant) of most Salmonella isolates in South Asia.
SEM analysis of Solid Lipid Microparticles.
Scanning electron microscopy image of rutin loaded from proniosome.
Biofilm Inhibition of Citrus Extracts.
ATR- FTIR Spectroscopic Studies for a physical mixture.
Photos of Macrotermes alatess oven-treated at 45°C for 72 hr, packed and then kept for three months.
MTT assays Revealed that the Doxycycline SLNs Decreased the Percent Viability of all the Cells in Different Concentrations.
In vitro drug release studies for all formulations (PRX1-PRX5).
UV absorbance for ofloxacin using 0.1N Hcl.
SEM Photographs of Polyherbal Microsponge.
Schematic illustration of the Franz cell assembly in the standard [cover lid (b)] and in the modified [cover lid (c)] version. Table 3: Selection of Excipients
Lipid profile in blood sample of Control, Diabetic patient.
Horse gram (Macrotyloma uniflorum) seeds collected from different locations in Uttarakhand.
Light microscopic images of the identified ciliates at 10X magnification
Untreated effluent before treatment (b) Untreated effluent after treatment
Gram’s staining of SN01 stain.
Major bioactive compounds detected in cooked BTB extract using GC-MS analysis
Line graph showing % of inhibition of ethanol and acetone extract against ABTS.
Microscopical photographs of Microplastics
Identity graph of the 64 codons.
Dose-dependent cytotoxicity effect of the H. conoidea ethanolic leaf extracts on brine shrimp nauplii.
MIC of A. baumannii KSBT18 and S. caprae KSBT32.
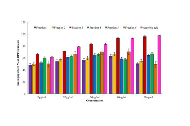
DPPH radical scavenging activity of Acacia catechu.
Percentage of vaginal discharge isolates.
Leading Parasitic Pathogens of RTE Vegetable Salad.
Pie diagram showing the percentage compositions of recorded macro-invertebrate orders during
In vitro cytotoxicity detection by MTT assay on Hep G2 cell lines (AMWE).
1: Cost-effective Steam Distillation process for extracting Betel Leaf Oil (BLEO) from ‘Sada Bangla’ cultivar.
Seasonal occurrence of Phytoplankton in different water bodies of Berach river system.
Evolutionary relationship among TaSnRKs, based on the sequence alignment of the different TaSnRKs proteins
Bioactive Chattels and Health Benefit Applications of Trametes versicolor
Total Phenolics Content (TPC) of the I. batatas leaves extracted with varying concentration of acetic acid.
Total alkaloid content, expressed as mg AE/ g sample, in the ethanolic leaf extracts of L. camara, C. citratus
Changes in the Proximate Composition, Fatty Acid and Mineral Contents of Catla catla of Loktak Lake by Different Cooking Methods
Protein surface view of CYP3A4 crystal-docked structure with the different putative AMCLE compounds
Structures of the different classes of anthocyanidin
Aspergillus niger, Aspergillus fumigatus, Yeasts, Aspergillus
Impact of Atrazine on Gill of Female Poecilia sphenops. SL-Secondary Lamella, PL–Primary Lamella,
Recycling process of toxic nitrogenous waste in Biofloc culture system.
(A) Schiozothorax esocinus (B) Schiozothorax plagiostomus (C) Salmo trutta fario (D) Triplophysa

Pages

  • « first
  • ‹ previous
  • …
  • 4
  • 5
  • 6
  • 7
  • 8
  • 9
  • 10
  • 11
  • 12
  • …
  • next ›
  • last »
  • Latest
  • Popular
  • Archive
Fish acclimatization and Blood sample collection
Zinc-Induced Histopathological and Enzymatic Alterations in Kidney and Liver of Common Carp Cyprinus carpio var. Communis: A Comprehensive Analysis
Jul 9, 2025 - 16:08
Gender Wise Distribution.
A Cross-Sectional Survey Study to Assess the Smart Phone Usage and Academic Performance in Medical Professional Students at National Institute of Ayurveda, Jaipur
Jul 4, 2025 - 13:08
Clinical and Radiological Resolution of Grade-III Knee Osteoarthritis through Panchakarma-A Case Report
Clinical and Radiological Resolution of Grade-III Knee Osteoarthritis through Panchakarma-A Case Report
Jul 4, 2025 - 13:04
PPI interactions of top 20 HUB Genes interacting proteins in stringbase. Number of Nodes : 20, Number of Edges : 118, Average Node Degree:11.8, Avg. Local Clustering Coefficient : 0.777, Expected Number of Edges : 12, PPI Enrichment p-value : < 1.0e-16.
Identification of Hub Genes and Therapeutic Targets in Lung Cancer Using Software Tools
Jul 4, 2025 - 12:59
More
In vitro Assessment of the Antioxidant and Cytotoxic Activities of Cissus quadrangularis Using HeLa Cells
Rats’ serum, testis and epididymis Cd concentrations after 3 weeks of different treatments are shown in (A), (B) and (C), respectively. Values are mean±SEM, n = 6, ***p<0.001, **p<0.01, *p<0.05 vs negative control group *p<0.001.
In vivo and In silico Evaluation of Flavonoid and Glucosinolate as Aromatase Inhibitor for Assessing Sexual Performance against Cadmium Induced Infertility in Male Wistar Rats
Cartographical representation of the four river locations at Barpeta district, Assam
Environmental Impact Study through Physico- Chemical and Ichthyofaunal Diversity Analysis in Selected Major Rivers of Barpeta District, Assam
October 2025 (16)
August 2025 (5)
July 2025 (11)
May 2025 (27)
April 2025 (30)
January 2025 (5)
December 2024 (33)
October 2024 (1)
September 2024 (40)
June 2024 (7)
May 2024 (25)
March 2024 (1)
More

Search form

About Journal

 

Asian Journal of Biological and Life sciences a peer-reviewed, open access/print Journal. The Journal is devoted to publishing scientific and technical information in the field of Biological, and Life sciences. With 3 issues per year, the Journal aims to provide the most complete and reliable source of information on current developments in the respective fields. The emphasis will be on publishing high-quality articles and providing free access to researchers worldwide through online .The Journal publishes research articles, reviews, short communications etc containing original research works of good standards

 

  • Editor-in-Chief : Dr. Dilip 
  • e-ISSN : 2278-5957 ; p-ISSN : 2278-747X
  • Frequency : Triannual (3 issues/year)
  • Indexed and Abstracted in :  

    CNKI, Zoological Record,  Indianscience.in, Geneva Foundation of Medical Education and Research, New Jour, Ulrich periodical directory, Jour Informatics,Genamics Journal seek,Cabi,CAS indexing (A divison of American Chemical Society) Jadoun Science Abstract Base,HINARI PORTAL ( Health InterNetwork Access to Research Initiative  BY WORLD HEALTH ORGANISATION.)*, Cite Factor, (Academic scientific Journal), Universal Impact factor,Research Bible,Directory of Research Journal Indexing (DRJI),Info port Electronic resources, Directory of Science, International center for Chemical and Biological Sciences(ICCBS) Libraries,Eletronic Journals library (GIGA-German institute of Global and Area studies information centre

 

Tags

16S r-RNA sequencing
16S rRNA
16S rRNA gene sequence
16S rRNA.
16SrRNA
17α
1H NMR
2019-nCoV
20β-dihydroxy-4-pregnen-3-one
2D gel
30 Centesimal Potency
3M MDS system (Molecular detection system)
3T3-L1 adipocytes
6S rRNA
7-methoxycoumarin
8-O-methyl fusarubin
8-O-methyl fusarubin.
99mTc
: Heteropoda
: Selenium
a-amylase
a-amylase.
A. dubius
A. paeoniifolius
A. racemosa
A. racemosa fruit
Aanat2 gene
Abaca
Abelmoschus manihot
Abelmoschus moschatus
Abiotic factors
Abiotic Stress
Abundance
Abundance.
Acacia ferruginea
Acacia lignin
Academic Performance
Acetic acid
Acetyl choline
Acetylcholinesterase
AChE (Acetylcholinesterase)
Achromobacter xylosoxidans
Acinetobacter baumannii
Activated charcoal
Activated partial thromboplastin time
Active packaging
active transport
Active transport
Activity
Activity.
More

Stay tuned with us

AJBLS provides DOI (Digital Object Identifier) to each published article. All published articles are indexed in Zoological record, Google scholar, China National Knowledge Infrastructure (CNKI), CrossRef and under process in Directory of Open Access Journals, EBSCO Publishing's Electronic Databases, Hinari (WHO) and Index Copernicus etc.

All articles published in AJBLS are made open access immediately.

Copyright © 2025 AJBLS. All rights reserved.
Powered by : Manuscript TechnoMedia LLP.

Creative Commons Licence
This work is licensed under a Creative Commons Attribution-NonCommercial 4.0 International License.

  • Home
  • Advertise with us
  • Privacy Statement
  • Contact