Asian Journal of Biological and Life sciences, Vol 13, Issue 2, May-Aug, 2024

Recent Articles

Review Article

A Systematic Review on Biochemical and Pharmacological Properties of the Active Phytochemicals Present in Aegle marmelos (L).

Mrudhulla Sivakumar,Pariyaporn Itsaranuwat,Narendhirakannan RT

Asian J. Biol. Life Sci.,13(2):250-257
DOI: 10.5530/ajbls.2024.13.32
Published: Tue, 24-Sep-2024
Read More
Review Article

Orchid Mimicry: Insight into a Fascinating Floral Phenomenon

Shivani Kondal,L.K. Attri

Asian J. Biol. Life Sci.,13(2):258-265
DOI: 10.5530/ajbls.2024.13.33
Published: Sat, 21-Sep-2024
Read More
Research Article

A Critical Review on Sleshaka Kapha of Ayurveda and its Affiliates in Physiological Perspective

MulaRam Suthar, ,Rakesh Roushan

Asian J. Biol. Life Sci.,13(2):266-270
DOI: 10.5530/ajbls.2024.13.34
Published: Sat, 21-Sep-2024
Read More
Review Article

The Chemical Constituents and Diverse Pharmacological Importance of Simarouba glauca DC.

Mariya Angel Auga Jeyasingh,Venkatesh Rajendran

Asian J. Biol. Life Sci.,13(2):271-277
DOI: 10.5530/ajbls.2024.13.35
Published: Sun, 22-Sep-2024
Read More
Review Article

Mycorrhizal Associations in Orchids: A Review

Paras Chauhan,L.K. Attri

Asian J. Biol. Life Sci.,13(2):278-286
DOI: 10.5530/ajbls.2024.13.36
Published: Sun, 22-Sep-2024
Read More
Review Article

The Growth Performance of Spirulina platensis on Media Supplemented with Digested Poultry Droppings Slurry of Biogas Plant

Jeyanthi Kumari Venkatasamy,Radhika Duraisamy,Veerabahu Chockalingam

Asian J. Biol. Life Sci.,13(2):287-296
DOI: 10.5530/ajbls.2024.13.37
Published: Sun, 22-Sep-2024
Read More
Research Article

Seasonal Dynamics and Ecological Health of Ullal Lake in Bengaluru North, Karnataka, India Introspected through Limnological Perspective and Physiological Response Assessment on Zebrafish (Danio rerio)

Mathews Payoor Raj,Reena Susan Philip

Asian J. Biol. Life Sci.,13(2):297-307
DOI: 10.5530/ajbls.2024.13.38
Published: Sun, 22-Sep-2024
Read More
Research Article

Analysis of Trace and Macroelements of Lepidocephalichthys berdmorei in Relation to Sex and Seasonal Variation

Ningombam Pratima,Wangkheimayum Vidyarani Devi

Asian J. Biol. Life Sci.,13(2):308-315
DOI: 10.5530/ajbls.2024.13.39
Published: Sun, 22-Sep-2024
Read More
Research Article

Studies on in vitro Anti-Diabetic Activities of the Epigeic Earthworm, Eisenia fetida Extract

Aishwarya Shetty,Pulikeshi M. Biradar

Asian J. Biol. Life Sci.,13(2):316-321
DOI: 10.5530/ajbls.2024.13.40
Published: Sun, 22-Sep-2024
Read More
Research Article

Antidiabetic and Antimicrobial Properties of Leaf and Bark Extracts of Cerbera odollam

Sonia Angeline Martin,Esther Shoba,Suchithra Jayakumar,Muhammed Asharudheen

Asian J. Biol. Life Sci.,13(2):322-329
DOI: 10.5530/ajbls.2024.13.41
Published: Sun, 22-Sep-2024
Read More
Research Article

Antibacterial Activity of Green Synthesized Copper Oxide Nanoparticles Using Muntingia calabura Leaf Extracts against Staphylococcus aureus and Escherichia coli

Sistine Zen S. Alvarez,Karrie R. Abraham,Ryana Daniele T. Azurin,Isaac Gabriel O. Bacani,Isaac Gabriel O. Bacani,Andre Manuel G. Bato,Kimberly Anne L. Budomo,Pamela Rose Bremner

Asian J. Biol. Life Sci.,13(2):330-337
DOI: 10.5530/ajbls.2024.13.42
Published: Sun, 22-Sep-2024
Read More
Research Article

In vivo Antibacterial Activity of Biosynthesized Selenium Nanoparticles using a Zebrafish Model

Christa Judiel Ram Amor,Ronee Anne Angal Abaya,Charo Mikaella A. Alcera,Bien Jaric Vald Antonio,Tatum Ranile Bautista,Princes Mae Oborsa Baximen,Gabrielle Frances Cr Berido,Joshua Carl Lim Boe,Pamela Rose Flore Bremner, ,

Asian J. Biol. Life Sci.,13(2):338-346
DOI: 10.5530/ajbls.2024.13.43
Published: Sun, 22-Sep-2024
Read More
Research Article

Plant Growth Promotion in Solanum lycopersicum through Endophytic bacteria Isolated from Flower of Samanea saman

R. Marivignesh,M. I.Zahir Hussain,P. Chithaiya,Sithi Jameela,M. Vijayalakshmi

Asian J. Biol. Life Sci.,13(2):347-352
DOI: 10.5530/ajbls.2024.13.44
Published: Sun, 22-Sep-2024
Read More

Hematological and Systemic Toxicity of in ovo Flubendiamide Exposure in Newly Hatched Domestic Chicks

Dhanush Danes,Juhi Vaishnav,Suresh Balakrishnan

Asian J. Biol. Life Sci.,13(2):353-359
DOI: 10.5530/ajbls.2024.13.45
Published: Sun, 22-Sep-2024
Read More
Research Article

Exploring its Repellent and Histopathological Efficacy of Tinospora cordifolia against Vector Borne Mosquitoes

Antony Annammal,P. Preethi,B. Geetha

Asian J. Biol. Life Sci.,13(2):360-367
DOI: 10.5530/ajbls.2024.13.46
Published: Fri, 27-Sep-2024
Read More
Research Article

Investigating the Anti-Biofilm Ability of Synergistic Drug Coated Urinary Catheters: In vitro Study

Naveena Rajasree R,Thangavel M

Asian J. Biol. Life Sci.,13(2):368-375
DOI: 10.5530/ajbls.2024.13.47
Published: Sun, 22-Sep-2024
Read More
Research Article

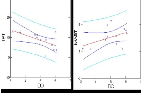
Effect of Dissolved Oxygen on Infectivity Pattern of Cestodes Lytocestus haryanii in Fish Clarias batrachus L. of River Yamuna, Yamuna Nagar (Haryana), India

Sushil Kumar Upadhyay, ,Manoj Singh,Nirmala Sehrawat,Raj Singh,Yogendra Prasad Pandey,Nisha Vashishta

Asian J. Biol. Life Sci.,13(2):376-383
DOI: 10.5530/ajbls.2024.13.48
Published: Sun, 22-Sep-2024
Read More
Research Article

Density, Abundance and Diversity of Insect Pollinators at Agro-Ecosystems of Kodagu District, Karnataka, India

Nalini Ballachand Monappa,Basavarajappa Sekarappa

Asian J. Biol. Life Sci.,13(2):384-394
DOI: 10.5530/ajbls.2024.13.49
Published: Sun, 22-Sep-2024
Read More
Research Article

Foraging Niche and Food Preference of Selected Insectivorous Birds from Family Monarchidae and Muscicapidae (Passeriformes) in Girnar Wildlife Sanctuary, Gujarat, India

Usha J. Zala,Jatin V. Raval

Asian J. Biol. Life Sci.,13(2):395-402
DOI: 10.5530/ajbls.2024.13.50
Published: Sun, 22-Sep-2024
Read More
Research Article

Efficacy of Protocol Based Integrated Management of Chronic Sports Injuries W.S.R to Elbow Joint: A Randomised Controlled Trial

Harishankar P. V,Ramesh S. Killedar,Deepti Bagewadi,Pradeep S. Shindhe

Asian J. Biol. Life Sci.,13(2):403-413
DOI: 10.5530/ajbls.2024.13.51
Published: Sun, 22-Sep-2024
Read More
Research Article

Optimizing Cultivation Techniques and Nutritional Profiles of Selected Brinjal Varieties in Solana

Nizarudeen Soumyamol,Muhammed Jameelabhe Sheeba

Asian J. Biol. Life Sci.,13(2):414-420
DOI: 10.5530/ajbls.2024.13.52
Published: Sun, 22-Sep-2024
Read More
Research Article

Studies on Ethno-Veterinary Plant Species of Rajaji National Park and Adjoining Areas

Bharti Singh,Saraswati Nandan Ojha,Maneesha Singh

Asian J. Biol. Life Sci.,13(2):421-431
DOI: 10.5530/ajbls.2024.13.53
Published: Sun, 22-Sep-2024
Read More
Research Article

Heat Stress-Induced Changes in Growth and Essential Oil Profile of German Chamomile (Matricaria chamomilla)

,Kamla Dhyani Jakhmola,Suman Khanduri,Girish Chandra

Asian J. Biol. Life Sci.,13(2):432-438
DOI: 10.5530/ajbls.2024.13.54
Published: Sun, 22-Sep-2024
Read More
Research Article

Optimization of Nutrient and Physical Parameters for the Enhanced Dibenzothiophene Desulfurization Activity by Streptomyces sp. VUR PPR 102

Praveen Reddy,Umamaheswara Rao

Asian J. Biol. Life Sci.,13(2):439-447
DOI: 10.5530/ajbls.2024.13.55
Published: Sun, 22-Sep-2024
Read More
Research Article

Preparation of a Forgotten Elixir: Panchagavya and Isolation of GABA Producing Probiotics

Varsha Muraleedharan,Thamaraiselvi Balasubramanian,Karukuvelraja Raja

Asian J. Biol. Life Sci.,13(2):448-455
DOI: 10.5530/ajbls.2024.13.56
Published: Sun, 22-Sep-2024
Read More

Pages